研究内容
Research
We use nuclear magnetic resonance (NMR) technique to study various physical phenomena at low temperatures. In particular, we are interested in understanding the mechanism of superconductivity in various classes of materials including copper oxides, iron pnictides, heavy fermion compounds, non-centrocymmetric materials and topological superconductors.
One of our current projects is on topological superconductors, whose surface states can be used for quantum computing. Here, the term "topological" means that the wave function describing superconductivity has a non-zero topological invariant, just as a donut where the number of hole is invariant against deformation.
We develop various new experimental techniques such as high pressure (up to 4 GPa), high-frequency NMR spectrometers and probes, and low-temperature apparatus (down to 10 mK).
We also make samples using arc-melt furnace, Bridgeman furnace, etc.
本研究室では核磁気共鳴(NMR)法を駆使して、低温で実現する物性物理現象を研究しています。特に、新奇な超伝導の物性とその発現機構、お互いに強く相互作用する電子集団が示す磁性などの研究に力を入れています。
核磁気共鳴(NMR)法は原子核スピンの運動を調べることで、ナノメータースケールでの電子状態を研究する手法です。医療機器として馴染みの深いMRI-CTはこの原理を応用した装置です。
私達の研究に、低温技術以外に高圧力や強磁場も外部パラメータとして多用しています。圧力発生装置は独自開発のピストンシリダー型セルを用い、最高4万気圧(4GPa)まで発生させています。また、研究室では14.1万ガウス(14.1T)までの磁場下で測定をしていますが、米国立強磁場研究所の装置を共同利用することで45万ガウス(45T)までの強磁場中でNMR実験も行なったりします。さらに、最近は世界最高磁場下でのNMR測定を目指して、パルス磁場NMR技術の開発を行っています。
現在、学内外、国内外の多くの研究者と協力関係を築きながら研究に励んでおり、物性物理科学における新概念の創出や新しい機能材料の創製を目指して努力しています。
TOPICS
Topological superconductors
トポロジカル超伝導体
近年、トポロジーという数学的概念を用いて物理現象を理解する新しい試みが注目を集めています。従来の導電体では表面と内部のトポロジーが同じで、表面も内部も同様に電気を流すと考えられていました。しかし、トポロジカル絶縁体と呼ばれる物質では表面は電気が流れるが内部は電気が流れないという性質を持っています。トポロジカル絶縁体の表面に流れる電流は従来の導電体に比べてエネルギーロスが少ないなどの特性があり産業への応用面でも注目を集めています。一方、トポロジカル超伝導体は、その表面状態が 量子コンピューターなどの次世代デバイスへ応用できると期待されています。
私達は世界に先駆けて、核磁気共鳴法を用いて、ドープしたトポロジカル絶縁体CuxBi2Se3 において、超伝導転移温度以下ではスピン回転対称性が破れることを発見しました。この結果は、スピン三重項(奇パリティ)超伝導を示すものです。ちなみに、 スピン回転対称性の破れを実際に観測したのはすべての超伝導体を通じて今回が初めてです。
この結果により CuxBi2Se3 はトポロジカル超伝導体という“新型の超伝導体”であることを証明しました。
[1] K. Matano, et al:Nature Physics volume 12, 852-854(2016)
Iron-pnictide high-temperature superconductors
鉄プニクタイト高温超伝導体
これまで、高温超伝導を示す物質は銅酸化物のみと考えられていました。しかし、2008年2月に鉄を含む物質が26Kで超伝導になることが報告されました[1]。現在この鉄系の超伝導転移温度Tcが55Kまでに達し[2]、高温超伝導の研究は“青銅器時代”から“鉄器時代”に突入しつつあります。
私達は世界に先駆けて、鉄系の超伝導がスピン1重項の対称性をもち、しかも多重ギャップをもつことを明らかにしました[3,4]。このような超伝導ギャップは大変ユニークですが、それが高いTcとどのような関係があるのでしょうか?私達はそれを解明すべく研究に励んでいます。
ごく最近、鉄系超電導体の電子相図や高温超電導実現背景が,銅酸化物高温超電導体と類似したものであることを明らかにしました。特に,電子が帯びる磁気が超電導に有利に働くことを明らかにしました。[5]
[1] Y. Kamihara et al, J. Am.Chem. Soc. 130, 3296 (2008).
[2] Z.A. Ren et al, Chin. Phys. Lett. 25, 2215 (2008).
[3] K. Matano, Z. A. Ren, X. L. Dong, L. L. Sun, Z. X. Zhao,
and G.-q. Zheng, Europhys. Lett. 83, 57001 (2008)
[4] S. Kawasaki, K. Shimada, G. F. Chen, J. L. Luo, N. L. Wang, and Guo-qing Zheng, Phys. Rev. B 78, 220506(R) (2008)
[5] T. Oka, Z. Li, S. Kawasaki, G. F. Chen, N. L. Wang, and Guo-qing Zheng, Phys. Rev. Lett. 108, 047001 (2012)
Copper oxide high-temperature superconductors
高温超伝導
高温超伝導が発見されてから20年が経ちましたが、その発現機構は未だにわかっていません。困難のひとつに超伝導転移が起こる前の“常伝導”状態が理解できていないことが挙げられます。私たちはこれまでに超強磁場下のNMR測定により“常伝導”状態の相図を明らかにしました。擬ギャップ(PG)と呼ばれる非フェルミ液体という状態が超伝導(SC)と共存しフェルミ面の一部を失わせたこと、また、超伝導は残りのフェルミ面(フェルミアーク)の上で実現することが明らかになりました。[1][2]
ごく最近、銅酸化物高温超伝導体において、未知の「電荷密度波秩序」が存在することを新たに発見しました。また、この秩序が、高温超伝導転移前の異常金属状態(擬ギャップ)と関係があることを突き止めました。[3]
[1] G.-q. Zheng, P.L.Kuhns, A.P.Reyes, B.Liang and C.T.Lin: Phys. Rev. Lett. 94, 047006 (2005).
[2] S. Kawasaki, C.T. Lin, P. L. Kuhns, A.P. Reyes, and G.Q. Zheng: Phys. Rev. Lett. 105, 137002 (2010).
[3]S. Kawasaki, Z. Li, M. Kitahashi, C.T. Lin, P.L. Kuhns, A.P. Reyes & Guo-qing Zheng :Nature Commun. 8, 1267 (2017).
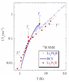
Noncentrosymmetric superconductors
空間反転対称性が破れた系の超伝導
我々の身の周りにあるものは、ほとんどが左右対称的にできています。古代建築や雪の結晶は、高い対称性をもつから美しく見えるのです。また、物理量の保存法則の背後には、必ずある種の対称性が存在します。一方、「対称性の破れ」も多く見られます。たとえば原子核のβ崩壊においては、対称性が破れ、パリティが保存しません。
私たちは最近、空間反転対称性が破れた電子系では珍しいタイプの超伝導が実現することを発見しました。Li2Pt3Bにおいて、これまでに最高の転移温度をもつスピン三重項超伝導が実現していることを見つけたのです。[1,2]
[1] M. Nishiyama, Y.Inada, and G.-q. Zheng: Phys. Rev. Lett. 98, 0470002 (2007).
[2] S. Harada, J.J. Zhou, Y. Yao, Y.Inada, and G.-q. Zheng: Phys. Rev. B 86, 220502 (2012).
Heavy fermion physics in compounds with skutterdite crystal structure
悩める電子と超伝導
電子は電荷、スピンの他に、軌道という重要な素性を持っています。電子材料の機能発現に軌道がどのような役割を果しているでしょうか?
スクッテルダイト化合物ReM4X12と呼ばれる一群の物質の中で、電子の質量が自由電子のものより数百倍も大きくなっているものがあります。これらの物質(重い電子系と呼ばれています)では、希土類元素の4f電子が複数の軌道をとることが許されています。
どの軌道を取ってもエネルギーが等価なので、電子は我々人間のようにおおいに悩みを抱えています。このふらふらとした落ち着きの無い性格("ゆらぎ"という)のために、電子の質量が重くなっていると考えられています。私達はこの悩める電子がどのように超伝導の発現に関わっているかについて研究しています。[1]
[1] K.Katayama, S.Kawasaki, M.Nishiyama, H.Sugawara, D.Kikuchi, H.Sato, and G.-q. Zheng: J. Phys . Soc. Jpn. 76, 023701 (2007)
Superconductivity in triangle lattices
三角格子上の超伝導
コバルトが三角格子を組むNaxCoO2は優れた熱電材料として近年注目を浴びている物質です。驚くことに、この物質でコバルト層間に水分子を挿入(インターカレート)すると、約5Kで超伝導転移が起こります(Takada et al, 2003)。超伝導を示すNaxCoO2・1.3H2Oは層状構造をしており、超伝導相が磁気/電荷秩序相に隣接しています。
私たちは世界に先駆けてこの系の超伝導を担う電子対の対称性や電子相関を明らかにしました(Ref.[1-3])。図1に核磁気緩和率1/T1の温度(T)依存性を示します。極低温まで1/T1が温度の3乗に比例し、超伝導ギャップに線状の節が存在することを意味します。また、単結晶で測定したナイトシフトは結晶のどの方向においてもTc以下で減少し、電子対(クーパー対)がスピン一重項状態にあることが明らかになりました。これらの結果は、銅酸化物高温超伝導体と同様にd波超伝導が実現していることを示すものです。
[1] T.Fujimoto, G.-q.Zheng, Y.Kitaoka, R.L.Meng, J. Cmaidalka, and C.W.Chu: Phys Rev.Lett. 92, 047004 (2004).
[2] G.-q. Zheng, K.Matano, R.L.Meng, J.Cmaidalka and C.W.Chu: J.Phys,: Condens Matter 18, L63 (2006).
[3] G.-q.Zheng, K.Matano, D.P.Chen, and C.T.Lin: Phys.Rev.B 73, 180503 (R) (2006).
Colossal magnetic resistance
巨大磁気抵抗効果
物質に磁場を印加すると、その物質の電気抵抗が数百倍も減少することがあります。この現象を巨大磁気抵抗 (CMR) 効果と言います。銅酸化物高温超伝導体と同じ結晶構造(ペロブスカイト構造)をしているマンガン酸化物(右図)はこのような性質を持っており、磁気ヘッドなどへの応用が期待されています。
室温でなぜCMRが起こるのかは長い間謎でしたが、私たちの最近のNMR測定によってその機構が明らかになりました。磁場が長距離強磁性秩序を誘起し、二重交換相互作用というものを通じて金属的な伝導状態を引き起こすのです。 [1]
[1] Y.Shiotani, J.L.Sarrao, and G.-q. Zheng : Phys.Rev.Lett.96, 057203 (2006).










